Определение количества и качества нефти при первичном технологическом и дальнейшем коммерческом учете является одной из задач, выполняемых системами измерения количества нефти (СИКН).
Традиционно СИКН проектируются с применением в их составе следующих средств измерения: расходомеров, вычислителей, плотномеров и влагомеров. Однако, по мере усовершенствования технических характеристик преобразователей расхода, инжиниринговые компании получили новые возможности в проектировании систем измерения количества нефти.
В частности, аттестованная функция «Компьютер чистой нефти» (oil computer), реализованная во вторичном преобразователе кориолисового расходомера «ЭМИС»-МАСС 260», позволяет отказаться от использования влагомеров и оптимизировать затраты на комплектацию СИКН.
Алгоритмы «Компьютера чистой нефти», разработанные инженерным центром «ЭМИС», успешно прошли аттестацию в Государственном центре испытаний средств измерений, что получило отражение в обновленном описании типа СИ кориолисового расходомера «ЭМИС» – МАСС 260».
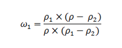
Массовая доля одного компонента из двухкомпонентной смеси рассчитывается по следующей формуле:

где ω1 – массовая доля компонента №1 (воды), ρ – измеренная расходомером плотность смеси двух компонентов, ρ1 – плотность компонента №1 (воды), ρ2 – плотность компонента №2 (нефти).
Массовая доля компонента №2 рассчитывается аналогично.
Зная массовую долю отдельного компонента и общий расход смеси, расходомер вычисляет массовый расход отдельного компонента по следующей формуле:

где QМЖ1 – массовый расход компонента №1, QМЖ – массовый расход смеси, ω1 – массовая доля компонента №1 (воды).
Аналогично рассчитываются массовый расход компонента №2.
Пределы допускаемой относительной погрешности измерений массового расхода (массы) компонента №1 двухкомпонентной смеси рассчитываются по формуле:
где Δρж – погрешность измерения плотности.
Аналогично рассчитывается погрешность компонента №2.
Функция «Компьютер чистой нефти» позволяет получать мгновенные показания следующих значений:
· мгновенный массовый расход смеси;
· мгновенный массовый расход компонента №1;
· мгновенный массовый расход компонента №2;
· процентное содержание компонента №1 в смеси.
Кроме того, «Компьютер чистой нефти» позволяет производить раздельный учет указанных значений, при этом все вычисляемые параметры возможно назначить на выходы расходомера (частотно-импульсные или аналоговые), считывать по цифровым интерфейсам (HART и RS-485), а также отображать на дисплее прибора.
Настройку функции можно выполнять с помощью цифровых интерфейсов или непосредственно с дисплея прибора. Для этого достаточно указать плотность воды и нефти при 20 °С.
Плотность нефти при 20 °С.

Плотность воды при 20 °С.
* Значение погрешности указано без учета погрешностей заданных плотностей – составляющих двухкомпонентной среды. Измерение массы компонентов необходимо проводить в течение не менее 1 минуты. Разница между плотностью смеси и компонентом №1 не должна быть меньше погрешности измерения расходомером плотности Δρж < ǀρ – ρ1ǀ.
Получаемые с «Компьютера чистой нефти» данные возможно использовать как для коммерческого учета, так и для первичного технологического учета, когда нефтегазоводяная жидкость со скважины поступает в АГЗУ, и до проведения сепарации необходимо знать процент содержания нефти и воды.
Одним из последних реализованных инжиниринговых решений с применением функции «Компьютер чистой нефти» стала разработка проекта по заказу ТПП «РИТЭК-Волгограднефтегаз». На объект заказчика было поставлено оборудование: кориолисовый расходомер «ЭМИС»-МАСС 260» в комплекте с панелью оператора «ОВЕН» СП307», на которую выводятся параметры, в том числе данные по обводненности и содержанию нефти, считанные с электронного блока расходомера по выходному сигналу Мodbus.
Рисунок 1 – Схема подключения СП307
На экран панели оператора выводятся следующие показания расходомера:
· массовый и объемный расход;
· массовый расход нефти;
· плотность;
· процент содержания воды;
· температура.
Рисунок 2 - Основной экран панели оператора
Для сохранения архивов подключается USB флэш накопитель, при наличии которого панель сохраняет 2-х часовые и суточные архивы.
Необходимо отметить, что расходомеры «ЭМИС»-МАСС 260» поставляются на объекты ТПП «РИТЭК-Волгограднефтегаз» не первый год. При этом Заказчик по достоинству оценил такое несомненное преимущество прибора, как наличие функции «Компьютер чистой нефти» с аттестованными алгоритмами.
Отзыв:
«В ТПП «Волгограднефтегаз» в настоящее время находятся в эксплуатации массомеры «ЭМИС»-МАСС 260» в количестве 2 штук. Массомер «ЭМИС»-МАСС 260», приобретенный в 2014 году, по настоящее время эксплуатируется на оперативном узле учета нефти «Север». Параметры измеряемой среды: нефть сырая с содержанием воды до 70%, давление избыточное 0,35 – 0,4 МПа, расход – 300, 500 т/ч, температура – 0, +30°С. «ЭМИС»-МАСС 260» имеет возможность определения массы нетто чистой нефти и подтоварной воды, что является несомненным преимуществом перед другими типами расходомеров и позволяет отказаться от влагомеров нефти в составе узлов учета».
Чтобы заказать средства измерения торговой марки «ЭМИС» заполните опросный лист и отправьте его на наш электронный адрес sales@emis-kip.ru.
